校历
|
邮箱
|
办公系统
|
学科成果系统
学院概况
学院简介
学院领导
机构设置
学术组织
制度建设
师资队伍
教师名录
教授
副教授
博士后
人才招聘
人才培养
本科生培养
研究生培养
国际化教育
继续教育
科学研究
学位点建设
科研团队
科研项目
科研成果
科研平台
社会服务
招生就业
本科生招生
研究生招生
留学生招生
就业创业
党建工作
专题教育
党建动态
学习园地
团学工作
工会之家
校友之家
校友动态
名录影像
校友风采
校友联络
校友捐赠
生科文化
历史沿革
院训院风
院旗院徽
数字生科
首页
头条新闻
学院动态
媒体关注
通知公告
学术动态
生科人物
关注社交微信微博
关注社交抖音
首页视频
学院概况
学院简介
学院领导
机构设置
学术组织
制度建设
师资队伍
教师名录
教授
副教授
博士后
人才招聘
人才培养
本科生培养
研究生培养
国际化教育
继续教育
科学研究
学位点建设
科研团队
科研项目
科研成果
科研平台
社会服务
招生就业
本科生招生
研究生招生
留学生招生
就业创业
党建工作
专题教育
党建动态
学习园地
团学工作
工会之家
校友之家
校友动态
名录影像
校友风采
校友联络
校友捐赠
生科文化
历史沿革
院训院风
院旗院徽
数字生科
首页
头条新闻
学院动态
媒体关注
通知公告
学术动态
生科人物
关注社交微信微博
关注社交抖音
首页视频
学院概况
学院简介
学院领导
机构设置
学术组织
制度建设
师资队伍
教师名录
教授
副教授
博士后
人才招聘
人才培养
本科生培养
研究生培养
国际化教育
继续教育
科学研究
学位点建设
科研团队
科研项目
科研成果
科研平台
社会服务
招生就业
本科生招生
研究生招生
留学生招生
就业创业
党建工作
专题教育
党建动态
学习园地
团学工作
工会之家
校友之家
校友动态
名录影像
校友风采
校友联络
校友捐赠
生科文化
历史沿革
院训院风
院旗院徽
数字生科
×
首页
首页
/
通知公告
/
正文
通知公告
头条新闻
学院动态
媒体关注
通知公告
学术动态
学术报告
科研进展
生科人物
关注社交微信微博
关注社交抖音
首页视频
头条新闻
学院动态
媒体关注
通知公告
学术动态
学术报告
科研进展
生科人物
关注社交微信微博
关注社交抖音
首页视频
通知公告
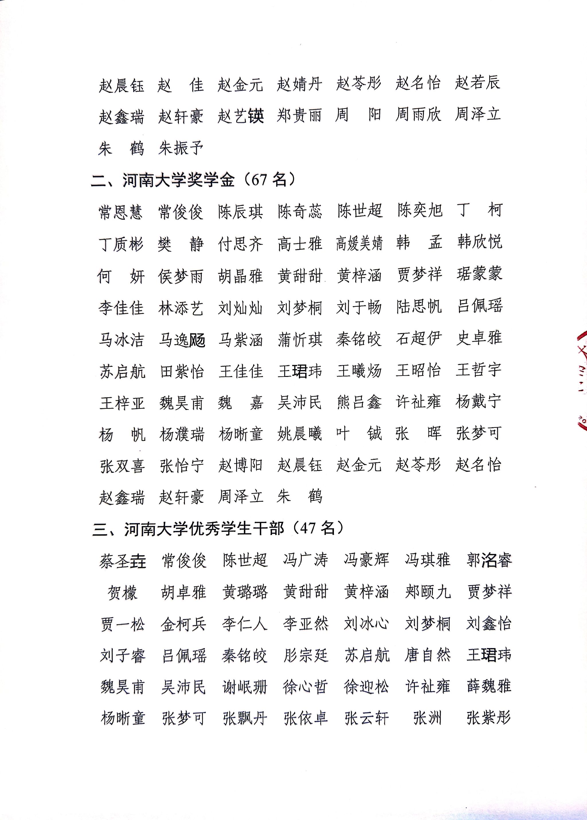
河南大学生命科学学院2024-2025学年本科生评先奖优拟获奖个人、集体公示名单
来源单位:
发布时间:2025年11月10日
浏览次数:次
上一条:河南大学生命科学学院2025年下半年拟发展对象公示
下一条:河南大学生命科学学院下半年入党积极分子公示单